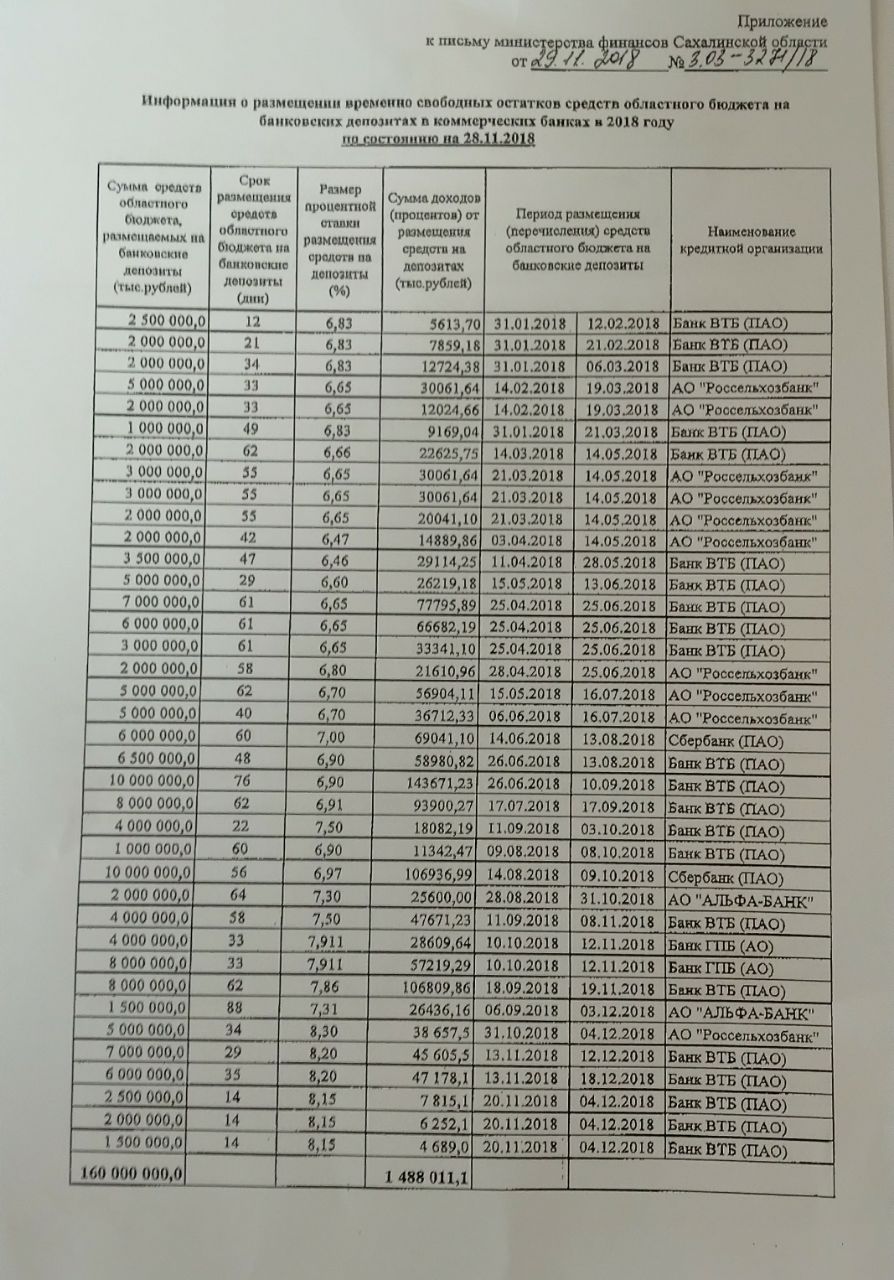
Как нам стало известно, сахалинское правительство под руководством губернатора Олега Кожемяко и его председателя Веры Щербины, разместило в 2018 году на депозитах коммерческих банков 160 млрд рублей средств регионального бюджета, которые чиновники посчитали “свободными”. 
Основная часть этих “свободных” средств, которые были временно изъяты из экономики региона, пополнили активы известного коммерческого банка ВТБ. По странному стечению обстоятельств, именно этот банк отказался раскрыть ФАС финансовые потоки, которые обеспечивали реализацию проекта компании “Грин Агро Сахалин”.
Буквально на днях председатель правления банка ВТБ Андрей Костин заявил о том, что ради обеспечения прибыли в условиях санкций, российские банки вынуждены полагаться на госфинансирование и госпроекты. Однако, часть акций банка находятся в руках владельцев GDR (Глобальная депозитарная расписка ). Среди крупнейших эмитентов GDR JPMorgan Chase, Citigroup, Deutsche Bank, The Bank of New York Mellon.
Пор признанию руководства ВТБ, кипрские резиденты уже получили от банка кредитов на сумму более 1 трлн рублей.
Напомним, в Сахалинской области зафиксировано в три раза больше ветхого и аварийного жилья, чем в среднем по России. Уровень газификации кратно отстает от среднего показателя в стране, а количество нищих вынужденных получать продовольственную помощь из рук правительства приближается к 70 тыс человек – это семьи с детьми.









